Hormonal and Metabolic Effects of Short-term Energy Imbalance in Obese-Prone as Compared to Obese-Resistant Individuals
Abstract
Background: While a majority of Americans are overweight, some individuals maintain a healthy weight in spite of fluctuations in energy intake. This study investigates hormonal and metabolic responses to short-term overfeeding and underfeeding in individuals recruited as obese-resistant (OR) or obese-prone (OP) based on self-identification, BMI, and personal/family weight history.
Methods: 58 subjects were studied during eucaloric, overfeeding, and underfeeding phases which included a 3-day run-in diet, 1-day intervention diet, and a study day on which a test meal containing 25% of daily energy intake for the intervention diet was provided. Following the test meal, blood was sampled every 30 minutes for hormones and metabolites, and appetite was assessed using visual analog scales.
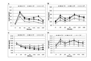
Results: Overfeeding resulted in increased meal responses for insulin, leptin and triglycerides and decreased responses for ghrelin, glucose and free fatty acids (FFA), and underfeeding resulted in decreased insulin, PYY, GLP-1 and triglycerides and increased ghrelin and FFA responses. Ghrelin levels were higher and insulin levels were lower in the OR as compared to the OP, although these effects were attenuated by overfeeding and underfeeding, respectively. Furthermore, there were greater correlations between appetite ratings and appetite-related hormones in the OR.
Conclusions: Few studies have assessed hormonal effects of underfeeding, which here was found to result in decreased insulin, PYY and GLP-1, and increased ghrelin. The greater correlations between appetite ratings and appetite-related hormones in the OR suggest that they are more sensitive to short-term energy imbalance and thus may be better able to adjust energy intake accordingly.
Keywords
Full Text:
PDFReferences
References:
Flegal KM, Carroll MD, Kit BK, Ogden CL. Prevalence of obesity and trends in the distribution of body mass index among us adults, 1999-2010. JAMA : the journal of the American Medical Association. 2012, 307:491-497
Bingham SA, Gill C, Welch A, Day K, Cassidy A, Khaw KT, Sneyd MJ, Key TJ, Roe L, Day NE. Comparison of dietary assessment methods in nutritional epidemiology: Weighed records v. 24 h recalls, food-frequency questionnaires and estimated-diet records. The British journal of nutrition. 1994, 72:619-643
Haines PS, Hama MY, Guilkey DK, Popkin BM. Weekend eating in the united states is linked with greater energy, fat, and alcohol intake. Obes Res. 2003, 11:945-949
Hill JO, Wyatt HR, Peters JC. Energy balance and obesity. Circulation. 2012, 126:126-132
Cornier MA, Grunwald GK, Johnson SL, Bessesen DH. Effects of short-term overfeeding on hunger, satiety, and energy intake in thin and reduced-obese individuals. Appetite. 2004, 43:253-259
Schmidt SL, Harmon KA, Sharp TA, Kealey EH, Bessesen DH. The effects of overfeeding on spontaneous physical activity in obesity prone and obesity resistant humans. Obesity (Silver Spring). 2012,
Schmidt SL, Kealey EH, Horton TJ, Vonkaenel S, Bessesen DH. The effects of short-term overfeeding on energy expenditure and nutrient oxidation in obesity-prone and obesity-resistant individuals. International journal of obesity. 2012,
Thomas EA, Bechtell JL, Vestal BE, Johnson SL, Bessesen DH, Tregellas JR, Cornier MA. Eating-related behaviors and appetite during energy imbalance in obese-prone and obese-resistant individuals. Appetite. 2013, 65C:96-102
Wren AM, Bloom SR. Gut hormones and appetite control. Gastroenterology. 2007, 132:2116-2130
Suzuki K, Jayasena CN, Bloom SR. The gut hormones in appetite regulation. Journal of obesity. 2011, 2011:528401
Wadden D, Cahill F, Amini P, Randell E, Vasdev S, Yi Y, Zhang W, Sun G. Serum acylated ghrelin concentrations in response to short-term overfeeding in normal weight, overweight, and obese men. PLoS One. 2012, 7:e45748
Hagobian TA, Sharoff CG, Braun B. Effects of short-term exercise and energy surplus on hormones related to regulation of energy balance. Metabolism. 2008, 57:393-398
Votruba SB, Kirchner H, Tschop M, Salbe AD, Krakoff J. Morning ghrelin concentrations are not affected by short-term overfeeding and do not predict ad libitum food intake in humans. Am J Clin Nutr. 2009, 89:801-806
Robertson MD, Henderson RA, Vist GE, Rumsey RD. Plasma ghrelin response following a period of acute overfeeding in normal weight men. Int J Obes Relat Metab Disord. 2004, 28:727-733
Hansen TK, Dall R, Hosoda H, Kojima M, Kangawa K, Christiansen JS, Jorgensen JO. Weight loss increases circulating levels of ghrelin in human obesity. Clinical endocrinology. 2002, 56:203-206
Cummings DE, Weigle DS, Frayo RS, Breen PA, Ma MK, Dellinger EP, Purnell JQ. Plasma ghrelin levels after diet-induced weight loss or gastric bypass surgery. The New England journal of medicine. 2002, 346:1623-1630
Svendsen PF, Jensen FK, Holst JJ, Haugaard SB, Nilas L, Madsbad S. The effect of a very low calorie diet on insulin sensitivity, beta cell function, insulin clearance, incretin hormone secretion, androgen levels and body composition in obese young women. Scandinavian journal of clinical and laboratory investigation. 2012, 72:410-419
Plum L, Ahmed L, Febres G, Bessler M, Inabnet W, Kunreuther E, McMahon DJ, Korner J. Comparison of glucostatic parameters after hypocaloric diet or bariatric surgery and equivalent weight loss. Obesity (Silver Spring). 2011, 19:2149-2157
Laferrere B, Teixeira J, McGinty J, Tran H, Egger JR, Colarusso A, Kovack B, Bawa B, Koshy N, Lee H, Yapp K, Olivan B. Effect of weight loss by gastric bypass surgery versus hypocaloric diet on glucose and incretin levels in patients with type 2 diabetes. The Journal of clinical endocrinology and metabolism. 2008, 93:2479-2485
Smucny J, Cornier MA, Eichman LC, Thomas EA, Bechtell JL, Tregellas JR. Brain structure predicts risk for obesity. Appetite. 2012,
Cornier MA, McFadden KL, Thomas EA, Bechtell JL, Eichman LS, Bessesen DH, Tregellas JR. Differences in the neuronal response to food in obesity-resistant as compared to obesity-prone individuals. Physiol Behav. 2013, 110-111:122-128
Cornier MA, Bergman BC, Bessesen DH. The effects of short-term overfeeding on insulin action in lean and reduced-obese individuals. Metabolism. 2006, 55:1207-1214
Cornier MA, Salzberg AK, Endly DC, Bessesen DH, Rojas DC, Tregellas JR. The effects of overfeeding on the neuronal response to visual food cues in thin and reduced-obese individuals. PLoS One. 2009, 4:e6310
Cornier MA, Von Kaenel SS, Bessesen DH, Tregellas JR. Effects of overfeeding on the neuronal response to visual food cues. Am J Clin Nutr. 2007, 86:965-971
Adochio RL, Leitner JW, Gray K, Draznin B, Cornier MA. Early responses of insulin signaling to high-carbohydrate and high-fat overfeeding. Nutr Metab (Lond). 2009, 6:37
Tregellas JR, Wylie KP, Rojas DC, Tanabe J, Martin J, Kronberg E, Cordes D, Cornier MA. Altered default network activity in obesity. Obesity (Silver Spring). 19:2316-2321
Allison DB, Paultre F, Maggio C, Mezzitis N, Pi-Sunyer FX. The use of areas under curves in diabetes research. Diabetes care. 1995, 18:245-250
Tam CS, Viardot A, Clement K, Tordjman J, Tonks K, Greenfield JR, Campbell LV, Samocha-Bonet D, Heilbronn LK. Short-term overfeeding may induce peripheral insulin resistance without altering subcutaneous adipose tissue macrophages in humans. Diabetes. 2010, 59:2164-2170
Brands M, Swat M, Lammers NM, Sauerwein HP, Endert E, Ackermans MT, Verhoeven AJ, Serlie MJ. Effects of a hypercaloric diet on beta-cell responsivity in lean healthy men. Clinical endocrinology. 2013, 78:217-225
Singh P, Peterson TE, Sert-Kuniyoshi FH, Glenn JA, Davison DE, Romero-Corral A, Pusalavidyasagar S, Jensen MD, Somers VK. Leptin signaling in adipose tissue: Role in lipid accumulation and weight gain. Circulation research. 2012, 111:599-603
Knudsen SH, Hansen LS, Pedersen M, Dejgaard T, Hansen J, Hall GV, Thomsen C, Solomon TP, Pedersen BK, Krogh-Madsen R. Changes in insulin sensitivity precede changes in body composition during 14 days of step reduction combined with overfeeding in healthy young men. Journal of applied physiology. 2012, 113:7-15
Wren AM, Seal LJ, Cohen MA, Brynes AE, Frost GS, Murphy KG, Dhillo WS, Ghatei MA, Bloom SR. Ghrelin enhances appetite and increases food intake in humans. The Journal of clinical endocrinology and metabolism. 2001, 86:5992
Wren AM, Small CJ, Abbott CR, Dhillo WS, Seal LJ, Cohen MA, Batterham RL, Taheri S, Stanley SA, Ghatei MA, Bloom SR. Ghrelin causes hyperphagia and obesity in rats. Diabetes. 2001, 50:2540-2547
Seevaratnam N, Bennett AJ, Webber J, Macdonald IA. The effects of underfeeding on whole-body carbohydrate partitioning, thermogenesis and uncoupling protein 3 expression in human skeletal muscle. Diabetes, obesity & metabolism. 2007, 9:669-678
Gallen IW, Macdonald IA. The effects of underfeeding for 7 d on the thermogenic and physiological response to glucose and insulin infusion (hyperinsulinaemic euglycaemic clamp). The British journal of nutrition. 1990, 64:427-437
Lagerpusch M, Bosy-Westphal A, Kehden B, Peters A, Muller MJ. Effects of brief perturbations in energy balance on indices of glucose homeostasis in healthy lean men. International journal of obesity. 2012, 36:1094-1101
King JA, Wasse LK, Ewens J, Crystallis K, Emmanuel J, Batterham RL, Stensel DJ. Differential acylated ghrelin, peptide yy3-36, appetite, and food intake responses to equivalent energy deficits created by exercise and food restriction. The Journal of clinical endocrinology and metabolism. 2011, 96:1114-1121
Adrian TE, Ferri GL, Bacarese-Hamilton AJ, Fuessl HS, Polak JM, Bloom SR. Human distribution and release of a putative new gut hormone, peptide yy. Gastroenterology. 1985, 89:1070-1077
Despres JP, Lemieux I. Abdominal obesity and metabolic syndrome. Nature. 2006, 444:881-887
Van Gaal LF, Mertens IL, De Block CE. Mechanisms linking obesity with cardiovascular disease. Nature. 2006, 444:875-880
Tschop M, Weyer C, Tataranni PA, Devanarayan V, Ravussin E, Heiman ML. Circulating ghrelin levels are decreased in human obesity. Diabetes. 2001, 50:707-709
Refbacks
- There are currently no refbacks.
